성갱년기(ADAM)와 발기부전(바이브렉트)
PGM3000 남자의격남성갱년기 발기부전
남성갱년기는 아담증후군(ADAM : Androgen Deficiency in Aging Males), 남성호르몬분비장애(Andropause),남성폐경,(Hypoandrogenism)으로 불리우며, 중년 이후 남성들이 남성호르몬 분비가 감소되면서 겪는 증상으로 남성호르몬 결핍증이라고도 한다.
특히, 고환에서 분비되는 테스토스테론의 감소는 성욕감퇴,발기부전 등의 성기능 저하를 유발한다.주요증상으로는 근육감소,지방증가,골다공증,무기력감,우울증,과민성,불면증,성기능저하등이있다.
40대이상 중년남성의 35%가 갱녕기를 겪은 경험이 있다. 중년 남성은 언덕에서 구르고 여성은 절벽에서 떨어진다는 표현대로 중년 남성갱년기는 30년이상 지속됩니다. 아울러 40대 이후에는 발기부전의 증상들이 나타나기 시작합니다. 따라서 발기부전에 대하여 올바로 이해하고 예방, 치료하는 것이 매우 중요합니다.
남성 호르몬, [ 男性- , male sex hormone , männliches Sexualhormon ]


웅성(雄性) 동물의 제2차 성징, 생식기 기능의 발현, 발달, 유지를 담당하는 내분비 물질. 분비 기관은 고환으로 그 간질 세포(英 interstitial cell)에서 분비된다. 고환 호르몬(英 testicular hormone)이라는 이름도 있다.
정확히는 내분비물질에 한정되지만, 넓은 의미로는 진성 호르몬 이외에서도 이러한 생리 작용을 나타내는 물질을 넓은 의미의 남성 호르몬이라고 하기도 한다. 또 진성 호르몬도 포함해서, 남성 호르몬으로서의 작용을 갖는 물질을 안드로겐(남성 호르몬 물질)이라고 하기도 한다.

고환이 남성의 기능에 중요한 영향을 주는 것은 옛부터 알려져 있었지만, 1931년 A. Butenandt은 남자 소변에서 유기 물질 안드로스테론을 결정으로 추출하고 또 1934년 Butenandt은 남자 소변에서 데히드로에피안드로스테론을 분리했다.
이들 화합물은 남성 호르몬 작용을 나타내지만 고환의 유기 물질은 아니고, 1935년 E. Laqueur 등이 소의 고환에서 진성 남성 호르몬 테스토스테론을 분리하였다.
남성 호르몬의 분비 기관은 고환으로, 여기서는 테스토스테론이 분비되지만 요즘에는 테스토스테론이 변화한 화합물이 배출되고, 이들 중에는 남성 호르몬 작용이 있는 물질도 있고 또 그 작용이 없는 관련 화합물도 여러 가지 발견되고 있다.
남성 호르몬의 분비 기관은 고환으로, 여기서는 테스토스테론이 분비되지만 요즘에는 테스토스테론이 변화한 화합물이 배출되고, 이들 중에는 남성 호르몬 작용이 있는 물질도 있고 또 그 작용이 없는 관련 화합물도 여러 가지 발견되고 있다.
소변으로 배출되는 것은 주로 17자리가 케톤에 산화된 17-케토스테로이드이지만, 이 모두가 고환에 유래하는 것이 아니라 일부는 부신 피질에 유래한다. 또 부신 피질로부터는 남성 호르몬 작용을 가지는 아드레노스테론 등이 분리되고 있다.
이러한 물질은 스테로이드에 속하고, 생리 작용을 나타내는 천연물의 중요한 것은 안드로스탄, Δ4- 또는 Δ5-안드로스텐의 유도체로 에티오콜란 유도체는 작용이 없다.
천연에 없는 합성된 스테로이드에도 남성 호르몬 작용을 나타내는 화합물이 많이 알려져 있지만, 작용을 나타내는 것은 안드로스탄, D-호모안드로스탄의 유도체, 또 그 18- 또는 19-노르 화합물이 그 중요한 것이다.
【생리 작용】
남성 호르몬 작용
【생리 작용】
남성 호르몬 작용
1) 정낭 및 전립선과 같은 부(副)성기의 발육 비대,
2) 힘줄과 뼈, 모발, 수염, 성대의 남성화
3) 성욕 항진
4) 고환 정세관 상피에서의 조정(造精) 기능의 촉진이 있지만, 그 외
5) 뇌하수체 전엽에 작용해서 생식샘 자극 호르몬 분비의 억제
6) 젖샘의 발육, 젖분비의 억제
7) 프로게스테론 같은 작용
8) 단백 동화 촉진 등의 작용을 나타낸다.
생물 시험법
1) 거세한 흰쥐의 정낭 또는 전립선의 중량 증가 반응
2) 거세닭의 볏의 발육에 의한 방법이 있다.
안드로스테론 100γ가 나타내는 효력을 1국제 단위로 한다. 이것은 테스토스테론 약 15γ에 상당한다.
【용도】
남자 성기능 저하, 남녀 갱년기 장해, 기능적 자궁 부정 출혈, 월경 이상, 젖분비 억제의 목적, 유방암, 소모병(암과 결핵)과 노쇠기의 체력 회복, 외과 수술 전후, 화상, 외상에서의 체력 회복, 조산아의 성장 촉진. 제품으로 테스토스테론 및 그 유도체, 메틸테스토스테론 외에 다음과 같은 것이 알려져 있다.
【용도】
남자 성기능 저하, 남녀 갱년기 장해, 기능적 자궁 부정 출혈, 월경 이상, 젖분비 억제의 목적, 유방암, 소모병(암과 결핵)과 노쇠기의 체력 회복, 외과 수술 전후, 화상, 외상에서의 체력 회복, 조산아의 성장 촉진. 제품으로 테스토스테론 및 그 유도체, 메틸테스토스테론 외에 다음과 같은 것이 알려져 있다.
플루옥시메스테론(英 fluoxymesterone) (N.N.D.)은 경구적 남성 호르몬(메틸테스토스테론의 10배) 및 단백 동화 촉진의 목적(메틸테스토스테론의 20배)에 사용된다.
1일 4~10mg 내복. 또 노르에탄드롤론(英 norethandrolone) (N.N.D.)은 남성 호르몬 작용이 약하고, 단백 동화 작용은 테스토스테론과 같다. 1일 30~50mg 내복.
남성 호르몬 과다증
미용적인 문제뿐 아니라 배란 장애, 불임도 발생,
남성 호르몬?
남성 호르몬은 이름과 같이 남성에서만 생산되는 것은 아닙니다. 남성 호르몬은 여성의 난소와 부신 피질에서 소량 분비되는 호르몬입니다. 남성 호르몬의 종류에는 테스토스테론(testosterone), 디하이드로테스토스테론(dehydrotestosterone), 안드로스텐디온(androstendione), DHEA, DHEAS 등이 있습니다.
증상
여성에서 남성 호르몬이 많아지면, 다모증, 여드름, 지성 피부, 희발 월경, 무월경, 성욕 변화, 식욕증진, 체중 증가, 남성화 등의 부작용이 나타나게 됩니다.
다모증은 여성에서 남성형의 체모(털)가 나타나는 현상으로, 남성 호르몬 과다 여성에서 가장 흔히 보이는 증상입니다.
털이 난 부위가 중요한데, 팔이나 다리에 있는 털은 남성 호르몬과 큰 연관이 없으며, 얼굴, 가슴, 상복부, 등, 음부에 난 털이 남성 호르몬과 연관되어 있습니다. 남성 호르몬이 많아진다고 모든 여성에서 다모증이 생기는 것은 아닙니다. 거꾸로 호르몬 수치는 정상인데 다모증이 생기는 경우도 있습니다.
남성 호르몬은 피지선을 과다하게 자극하여 과다한 피지를 만들고 이것이 모낭을 막으면 모낭염이 생기며 여드름으로 발전하게 됩니다. 사춘기 여성에서 여드름이 심하고 이 증상이 20대까지도 지속된다면 한 번쯤 남성 호르몬 과다증을 의심해보아야 합니다.
남성 호르몬은 지방조직에서 여성 호르몬으로 전환되고 이것이 과다하게 되면 시상하부, 뇌하수체, 난소 등에 영향을 미쳐서 배란 장애를 유발합니다. 더구나 과도한 남성 호르몬은 난포 발달에 방해하여 다낭성 난소 증후군에서 볼 수 있는 바와 같이 무수한 미성숙 난포를 만들게 됩니다. 이로 인해 임신이 잘 안 될 수 있습니다.
남성 호르몬 과다증은 다모증이나 여드름과 같이 미용적인 문제를 초래할 뿐만 아니라 내과적인 문제를 야기할 수도 있습니다. 그 예로 장기간 과다한 남성 호르몬에 노출되면 지질 대사에 문제가 생겨서 심혈관 질환에 걸릴 위험성이 높아집니다. 더구나 배란이 안 되면 자궁내막이 두꺼워져서 자궁내막 증식증이 생기고 심지어는 젊은 나이에 자궁내막암으로 발전되기도 합니다.
남성 호르몬 과다증이 심해지면 목소리가 굵어진다거나 탈모, 클리토리스 비대증, 유방 축소 등의 남성화가 진행됩니다. 이런 증상들이 생기면 여성으로서의 건강을 위협할 수 있으므로 반드시 난소와 부신에 종양이 생기지 않았나 의심해 보아야 합니다.
진단
많은 경우에서 검사가 필요하긴 하지만, 모든 다모증 여성이 남성 호르몬 검사와 같은 실험실 검사를 해야만 하는 것은 아닙니다. 중증도 이상의 다모증을 보이는 경우나 다모증이 갑자기 발생하고, 빠르게 악화되거나 남성화를 같이 동반하는 경우 검사를 고려할 수 있습니다.
치료
비만인 경우에는 체중 감소가 우선적으로 권장되며, 다른 배후 질환이 있는 경우에는 그 질환의 치료가 우선되어야 합니다. 특발성 다모증인 경우나 혹은 증상이 경미한 경우에는 왁스, 화학적 제거, 전기 분해술, 레이저 등을 이용한 제모를 하거나 약물 치료를 하기도 합니다.
다모증의 약물 치료는 그 반응이 비교적 느리기 때문에 뚜렷한 효과가 나타나는데 일반적으로 6개월 가량이 필요합니다. 가장 먼저 사용하는 약은 저용량 경구 피임약이며, 그 외에도 항안드로겐 제제나 생식샘 자극 호르몬 분비 호르몬 작용제 등도 치료에 사용됩니다.
남성 호르몬 과다증이 의심이 될 경우, 반드시 병원을 방문하여 그 원인을 조사하고 그에 따른 적절한 치료를 받아야 할 것입니다.
출처 ^ 참고문헌,
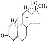
[테스토스테론 [testosterone] (화학백과)
[테스토스테론의 구조(대한화학회)
[스테로이드 호르몬의 구조와 생합성 과정
[남성갱년기 환자의 약물치료와 추적관찰 J Korean Med. Assoc. 2011 February; 54(2): 197-204.
[Barqawi A, Crawford ED. Testosterone replacement therapy and the risk of prostate cancer. Is there a link? Int J Impot Res 2006;18: 323-328.
[Calof OM, Singh AB, Lee ML, Kenny AM, Urban RJ, Tenover JL, Bhasin S. Adverse events associated with testosterone
[replacement in middle-aged and older men: a meta-analysis of randomized, placebo-controlled trials. J Gerontol A Biol Sci Med Sci 2005;60: 1451-1457.
[Nieschlag E, Swerdloff R, Behre HM, Gooren LJ, Kaufman JM, Legros JJ, Lunenfeld B, Morley JE, Schulman C, Wang C, Weidner W, Wu FC; International Society of Andrology (ISA); International Society for the Study of the Aging Male (ISSAM); European Association of Urology (EAU). Investigation, treatment and monitoring of late-onset hypogonadism in males: ISA, ISSAM, and EAU recommendations. Eur Urol 2005;48: 1-4.
[Bhasin S, Cunningham GR, Hayes FJ, Matsumoto AM, Snyder PJ, Swerdloff RS, Montori VM. Testosterone therapy in adult men with androgen deficiency syndromes: an endocrine society clinical practice guideline. J Clin Endocrinol Metab 2006;91: 1995-2010.
[테스토스테론 [Testosterone] (상식으로 보는 세상의 법칙 : 심리편,)
[테스토스테론 (시사상식사전, pmg 지식엔진연구소)
[상식으로 보는 세상의 법칙 : 심리편
[테스토스테론 [testosterone] (생명과학대사전, 초판 2008., 개정판 2014.,)
[남성 호르몬 [男性-, male sex hormone, männliches Sexualhormon] (화학대사전, 2001.., 세화 편집부)
[남성 호르몬 과다증 - 미용적인 문제뿐 아니라 배란 장애, 불임도 발생 (차병원 임신정보)
#테스토스테론 #Testosterone #테스토스테론의 구조 #대한화학회 #스테로이드 호르몬 #구조와 생합성 과정 #남성 호르몬 #男性 #male sex hormone #männliches Sexualhormon #남성 호르몬 과다증 #미용적인 문제 #배란 장애 #불임도 발생 #병원 임신정보 #안드로겐 #androgen #Androgen #생명과학 #적절한 치료 #경구 피임약 #항안드로겐 제제 #생식샘 #자극 호르몬 #분비 호르몬 작용제 #치료에 사용 #질환의 치료가 우선 #특발성 다모증인 경우 #혹은 증상이 경미한 경우에는 왁스 #화학적 제거 #전기 분해술 #레이저 등을 이용한 제모를 하거나 #약물 치료를 하기 #남성갱년기 발기부전 #남성갱년기 #아담증후군 #ADAM #Androgen Deficiency in Aging Males #남성호르몬분비장애(Andropause) #남성폐경(Hypoandrogenism)으로 불리우며 #중년 이후 #남성들이 남성호르몬 분비가 감소되면서 겪는 증상 #남성호르몬 결핍증 #고환에서 분비 #테스토스테론의 감소 #성욕감퇴 #발기부전 #성기능 저하를 유발 #주요증상 #근육감소 #지방증가 #골다공증 #무기력감 #우울증 #과민성 #불면증 #성기능저하 #40대이상 중년남성의 35%가 갱녕기를 겪은 경험 #중년 남성은 언덕에서 구르고 #여성은 절벽에서 떨어진다는 표현대 #중년 남성갱년기는 30년이상 지속 #40대 이후에는 발기부전의 증상들이 나타나기 시작 #발기부전에 대하여 올바로 이해하고 예방 #치료하는 것이 매우 중요
댓글 없음:
댓글 쓰기